葡萄糖苷酶
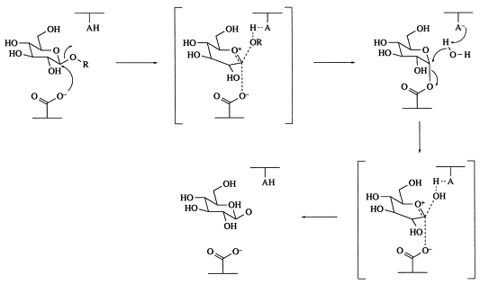
葡萄糖苷酶属于水解酶,能够高效水解非还原还原性末端的β-D-葡萄糖苷键,同时释放出β-D-葡萄糖和相应的配基。另外在高浓度配基或葡萄糖及特定的反应条件下,该酶具有转苷活性,可以将配基或葡萄糖体以β-1,6糖苷键形式转移到其他糖底物上。
立即咨询
服务热线:18006213079
产品详情
葡萄糖苷酶
葡萄糖苷酶属于水解酶,能够高效水解非还原还原性末端的β-D-葡萄糖苷键,同时释放出β-D-葡萄糖和相应的配基。另外在高浓度配基或葡萄糖及特定的反应条件下,该酶具有转苷活性,可以将配基或葡萄糖体以β-1,6糖苷键形式转移到其他糖底物上。
葡萄糖苷酶有两条链,两者是不对称的,不可重叠。每条链由438个氨基酸组成,构成酶的一个亚基。这些亚基中的每一个都包含一个活性位点。活性位点是酶和底物结合并可以发生酶促反应的位置。

功能
葡萄糖苷酶可以预水解各种糖苷和寡糖,最重要的是能水解纤维素中的β-葡萄糖苷,是纤维素水解酶的重要组成部分,是很多生物体降解植物细胞壁的有力工具。葡萄糖苷酶的活性位点设计葡糖苷、纤维二糖、纤维三糖、纤维四糖的两个羧酸残基。可在生物质水解过程中去除双糖纤维二糖中的残留物以产生葡萄糖。
〈暂无更多信息
暂无更多信息〉
推荐产品


